开普勒三大定律都是研究天体运动中行星运动规律的定律,该定律是牛顿发现万有引力定律的基石。 那就由童乐福科学网给同学们带来这个古代科学趣味故事:占星家的目的——开普勒与行星定律。

趣味故事阅读:
17世纪的罗马,在一所教堂里,波西米亚国王兼罗马皇帝庄严宣布:“现在,我们要把‘皇家首席数学师’的称号授予一个最伟大的年轻人他的名字叫——约翰尼斯·开普勒!”话音落下,音乐响起,开普勒上前领受。但是这时,站在前排的人们发现,这位年轻人脸上并没有任何欣喜若狂或者可以称之为高兴的情绪,他的脸上一片漠然,甚至眼中还透露出些许无奈。这是为什么呢?
原来开普勒这个年轻人,于1571年出生在德国的威尔德斯达特镇,这一年恰好是哥白尼发表《天体运行论》后的第28年。哥白尼在这部伟大著作中提出了行星绕太阳而不是绕地球运转的学说。开普勒就读于蒂宾根大学,1588年获得学士学位,3年后获得硕士学位。当时大多数科学家拒不接受哥白尼的日心说。但是开普勒在蒂宾根大学学习期间,听到对日心学说所做的合乎逻辑的阐述后,很快就相信了这一学说。也因此开普勒迷上了天文学,他常常沉迷在天文学世界中,动不动就是一整天。但是,他没有正常的工作,生活日渐拮据,日子捉襟见肘。开普勒不禁发了愁,他只想做研究,可是也不能被饿死啊。
这个时候,朋友介绍他进了罗马宫廷,凭借自己杰出的星象知识,他很快获得了皇室上下的欣赏。波西米亚国王授予他“皇家首席数学师称号就是这个缘故。不过,接受这个头衔就意味着要为皇家服务,当时的波西米亚需要预言命运的人,他们想让开普勒通过对行星的研究来预言国家的未来。
开普勒内心里十分厌恶,因为对他来说,最重要的是研究行星运动的规律,而不是靠所谓的占星术来骗人。可是,在朋友的劝说下他还是为五斗米接受了这份工作。他为国王占星,并制作了星占天宫图,有人评价说这是“人类最伟大的想象力里最卑下的工作”。然而开普勒并没有放弃对科学的追求,恰恰相反,因为这个头衔而带来的一切收入,大大促进了他的研究,继而开普勒的研究有了丰硕的成果。
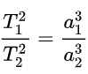
他在1609年发表的伟大著作《新天文学》中提出了他的前两个行星运动定律。行星运动第一定律认为每个行星都在一个椭圆形的轨道上绕太阳运转,而太阳位于这个椭圆轨道的一个焦点上。行星运动第二定律认为行星运行离太阳越近则运行就越快,行星的速度以这样的方式变化:行星与太阳之间的连线在等时间内扫过的面积相等。10年后开普勒发表了他的行星运动第三定律:行星距离太阳越远,它的运转周期越长;运转周期的平方与到太阳之间距离的立方成正比。
开普勒定律对行星绕太阳运动做了一个基本完整、正确的描述,解决了天文学的一个基本问题。这个问题的答案曾使甚至像哥白尼、伽利略这样的天才都感到迷惑不解。当时开普勒没能说明按其规律在轨道上运行的原因,到17世纪后期才由艾萨克·牛顿阐明清楚。开普勒对此运动性质的研究,我们可以看到万有引力定律已见雏形。开普勒在万有引力的证明中已经证实:如果行星的轨迹是圆形,则符合万有引力定律。而如果轨道是椭圆形,开普勒并未证明出来。牛顿后来用很复杂的微积分和几何方法证出。
牛顿曾说过:“如果说我比别人看得远些的话,是因为我站在巨人的肩膀上。”而德国天文学家开普勒无疑是他所指的巨人之一。
其实,开普勒对天文学的贡献几乎可以和哥白尼相媲美。事实上从某些方面来看,开普勒的成就甚至给人留下了更深刻的印象。他更富于创新精神。他所面临的数学困难相当巨大。数学在当时远不如今天这样发达没有计算机来减轻开普勒的计算负担在开普勒以前,哥白尼学说认为天体绕太阳运转的轨道是圆形的,且是匀速运动的。开普勒轨道定律和面积定律恰好纠正了哥白尼上述观点的错误,对哥白尼的日心说做出了巨大的发展,使日心说更接近于真理。同时开普勒的行星定律更彻底地否定了统治千百年来的托勒密地心说。在研究中开普勒还指出,行星与太阳之间存在着相互的作用力,其作用力的大小与二者之间的距离长短成反比。这三大定律最终使他赢得了“天空立法者”的美名。
开普勒有一次抑制不住巨大喜悦,在给朋友的信中说道:“我沉湎在神圣的狂喜之中……我的书已经完稿。它不是会被我的同时代人读到就会被我的子孙后代读到—这是无所谓的事。它也许需要足足等上100年才会有一个读者,正如上帝等了6000年才有一个人理解他的作品。”事实上,虽然没有100年那么久,开普勒的理论也的确经过了几十年,才让人最终理解并接受。
开普勒定律在天文学上有十分重大的意义首先,开普勒定律在科学思想上表现出无比勇敢的创造精神。远在哥白尼创立日心宇宙体系之前,许多学者对于天动地静的观念就提出过不同见解。但对天体遵循完美的均匀圆周运动这一观念,从未有人敢怀疑。开普勒却毅然否定了它。这是个非常大胆的创见。哥白尼知道几个圆合并起来就可以产生椭圆,但他从来没有用椭圆来描述过天体的轨道。正如开普勒所说,“哥白尼没有觉察到他伸手可得的财富”。
其次,开普勒定律彻底摧毁了托勒玫的本轮系,把哥白尼体系从本轮的桎梏下解放出来,为它带来充分的完整和严谨。哥白尼抛弃古希腊人的个先入之见,即天与地的本质差别,获得一个简单得多的体系。但它仍须用三十几个圆周来解释天体的表观运动。开普勒却找到最简单的世界体系,只用7个椭圆说就全部解决了。从此,不需再借助任何本轮和偏心圆就能简单而精确地推算行星的运动。
第三,开普勒定律使人们对行星运动的认识得到明晰概念。它证明行星世界是一个匀称的(即开普勒所说的“和谐”)系统。这个系统的中心天体是太阳,受来自太阳的某种统一力量所支配。太阳位于每个行星轨道的焦点之一。行星公转周期决定于各个行星与太阳的距离,与质量无关。而在哥白尼体系中,太阳虽然居于宇宙“中心”,却并不扮演这个角色,因为没有一个行星的轨道中心是同太阳相重合的。

由于利用前人进行的科学实验和记录下来的数据而作出科学发现,在科学史上是不少的。但像行星运动定律的发现那样,从第谷的20余年辛勤观洌到开普勒长期的精心推算,道路如此艰难,成果如此辉煌的科学合F,则是罕见的。而这一切都是在没有望远镜的条件下得到的!
除了发现行星运动定律外,开普勒在天文学上还作出有益的贡献。
他没有辜负第谷的嘱托,于1627年刊布他终身的最后杰作—《路德福星表》。这是天文史上值得称赞的一部星表,它的完备和准确度远胜过前人。在以后的百余年间,该表一直被天文学家和航海家们奉为至宝。它的形式几乎没有改变地保留到现在。我们现在可从《天文年历》或同类书刊中查知天体过去或未来的运动和准确位置。开普勒正是这方面工作的先驱。
励志语录:
星占学女儿不挣钱来,天文学母亲就要饿死。——【德】开普勒。
思考:
开普勒三大定律内容是什么?
- ①椭圆定律:所有行星绕太阳的轨道都是椭圆,太阳在椭圆的一个焦点上。
- ②面积定律:行星和太阳的连线在相等的时间间隔内扫过的面积相等。
- ③调和定律:所有行星绕太阳一周的恒星时间(
)的平方与它们轨道半长轴(ai)的立方成比例,即
。


)的平方与它们轨道半长轴(ai)的立方成比例,即
。